Senaste nytt

Till USA efter öppnandet 2021-11-08

Jo, men som jag också skrev hade jag inte möjlighet att just där och då sitta och plöja en massa sidor på länken som du gav.

En kompis som reste in i USA förra veckan kunde dock ge ett tydligt och enkelt svar.
Förstår inte vad du snackar om. Det är en länk direkt till sidan som handlar om Requirement for Proof of COVID-19 Vaccination for Air Passengers.
Typ 20 rader ner så börjar relevant sektion...

Om du inte orkar anstränga dig så lite så vet jag inte vad mer jag ska säga...
 
Starting at 12:01 AM ET on January 5, all air passengers two years and older originating from the PRC will be required to get a test (such as a PCR test or an antigen self-test administered and monitored by a telehealth service or a licensed provider and authorized by the Food and Drug Administration or the relevant national authority) no more than 2 days before their departure from the PRC, Hong Kong, or Macau, and show a negative test result to the airline upon departure.

  • This will also apply to persons traveling from the PRC via third country transit and to passengers connecting through the United States onward to further destinations.
  • Along with applying this requirement to direct flights from the PRC, passengers transiting Incheon International Airport, Toronto Pearson International Airport, and Vancouver International Airport on their way to the United States will be required to provide a negative COVID-19 test if they have been in the PRC in the last 10 days no more than 2 days before their departure to the United States.
 
Starting at 12:01 AM ET on January 5, all air passengers two years and older originating from the PRC will be required to get a test (such as a PCR test or an antigen self-test administered and monitored by a telehealth service or a licensed provider and authorized by the Food and Drug Administration or the relevant national authority) no more than 2 days before their departure from the PRC, Hong Kong, or Macau, and show a negative test result to the airline upon departure.

  • This will also apply to persons traveling from the PRC via third country transit and to passengers connecting through the United States onward to further destinations.
  • Along with applying this requirement to direct flights from the PRC, passengers transiting Incheon International Airport, Toronto Pearson International Airport, and Vancouver International Airport on their way to the United States will be required to provide a negative COVID-19 test if they have been in the PRC in the last 10 days no more than 2 days before their departure to the United States.
Så PCR för PRC. :)
 
Ändå rimligt att andra länder ställer krav på test av inresande kineser nu när kina öppnar upp och fler kineser kommer ut och resa. De har ju inte samma vaccinskydd som oss.

Ja fullt rimligt, men mer pga smittspridningen där, risken för nya varianter samt Kinas tendens att undanhålla information. Vaccinskyddet är nog lite skitsamma. Jag har 3 doser i Sverige men tror verkligen inte det ger mig något skydd öht... Senaste dosen tagen för ett år sedan tror jag. Jag har haft covid 2 gånger efter min 3e dos.
 
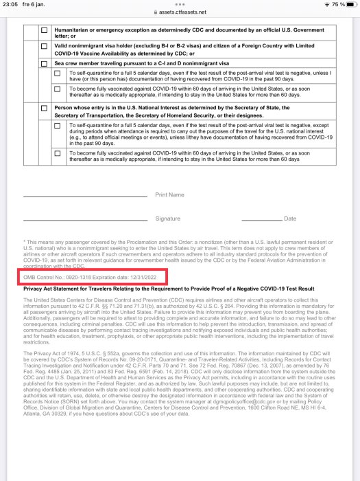
Gällande attest, brukar det räcka med att skriva ut sida 2 (är fullt vaccinerad) och sidan 5 (signera)? :rolleyes:
Tänkte spara lite papper….
 
Hmmm….
Hittar bara dessa när jag går via CDC (uppdaterat 30/12-22).



Edit. Samtliga 3 har samma OMB Control No.: 0920-1318 men på den 2-sidiga står detta
8CEF47B3-59EA-45EE-92B6-C4BDA3D9ACBD.jpeg
 
Last edited:
Toppen